Szczegóły
powrót do listy przetargówOGŁOSZENIE O PRZETARGU NA SPRZEDAŻ SKŁADNIKÓW RZECZOWYCH MAJĄTKU RUCHOMEGO GMINNEGO ZESPOŁU USŁUG WODOCIĄGOWYCH I GOSPODARKI KOMUNALNEJ W DRELOWIE
OGŁOSZENIE O PRZETARGU NA SPRZEDAŻ SKŁADNIKÓW RZECZOWYCH MAJĄTKU RUCHOMEGO GMINNEGO ZESPOŁU USŁUG WODOCIĄGOWYCH I GOSPODARKI KOMUNALNEJ W DRELOWIE
Kierownik Gminnego Zespołu Usług Wodociągowych i Gospodarki Komunalnej w Drelowie
na podstawie § 8.1 Rozporządzenia Rady Ministrów z dnia 21 maja 2010r. w sprawie sposobu i trybu gospodarowania składnikami rzeczowymi majątku ruchomego, w który wyposażone są jednostki budżetowe (Dz.U.z 2010r. nr 114, poz.761),ogłasza przetarg na sprzedaż składników rzeczowych majątku ruchomego.
I. Nazwa i siedziba organizatora przetargu:
Gminny Zespół Usług Wodociągowych i Gospodarki Komunalnej ul. Dworska 4,
21-570 Drelów.
II. Miejsce i termin przeprowadzenia przetargu:
Przetarg przeprowadzony będzie w dniu 25 listopada 2015 roku o gadz.10ºº w budynku
Gminnego Zespołu Usług Wodociągowych i Gospodarki Komunalnej w Drelowie ul.
Dworska 4.
III. Rodzaj sprzedawanych przedmiotów przetargu:
|
Lp |
Przedmiot przetargu |
Rok produkcji |
Typ |
Nr fabryczny |
Cena wywoławcza netto (zł) |
Wadium (zł) |
Minimalna wysokość postąpienia (zł)
|
|
1. |
Przyczepa ciężarowa,rolnicza wywrotka 4,5 t |
1973 |
TO 70 |
3760 |
5831,00 |
300,00 |
300,00 |
IV. Miejsce i termin oględzin przedmiotu przetargu:
Przedmiot przetargu można oglądać pod adresem: ul. Dworska 4, 21-570 Drelów w
terminie od dnia publikacji niniejszego ogłoszenia do dnia poprzedzającego przetarg.
V. Informacje dotyczące wadium:
1. Warunkiem przystąpienia do przetargu jest wniesienie wadium w wysokości 300,- zł
2.Wadium należy wnieść do godz. 9³ºdnia 25.11.2015r przelewem na rachunek bankowy
GZUWiGK w Drelowie: BS Drelów nr konta: 56803900060010010045900001 z
adnotacją: ,,Wadium-kupno przyczepy wywrotki”.
Potwierdzeniem wniesienia wadium będzie kopia dowodu wpłaty/przekazu bankowego.
3.Za termin wniesienia wadium za pomocą przelewu bankowego zostanie przyjęty termin
uznania rachunku bankowego GZUWiGK, o którym mowa w pkt V, ust 2 ogłoszenia
VI. Inne informacje dotyczące przetargu:
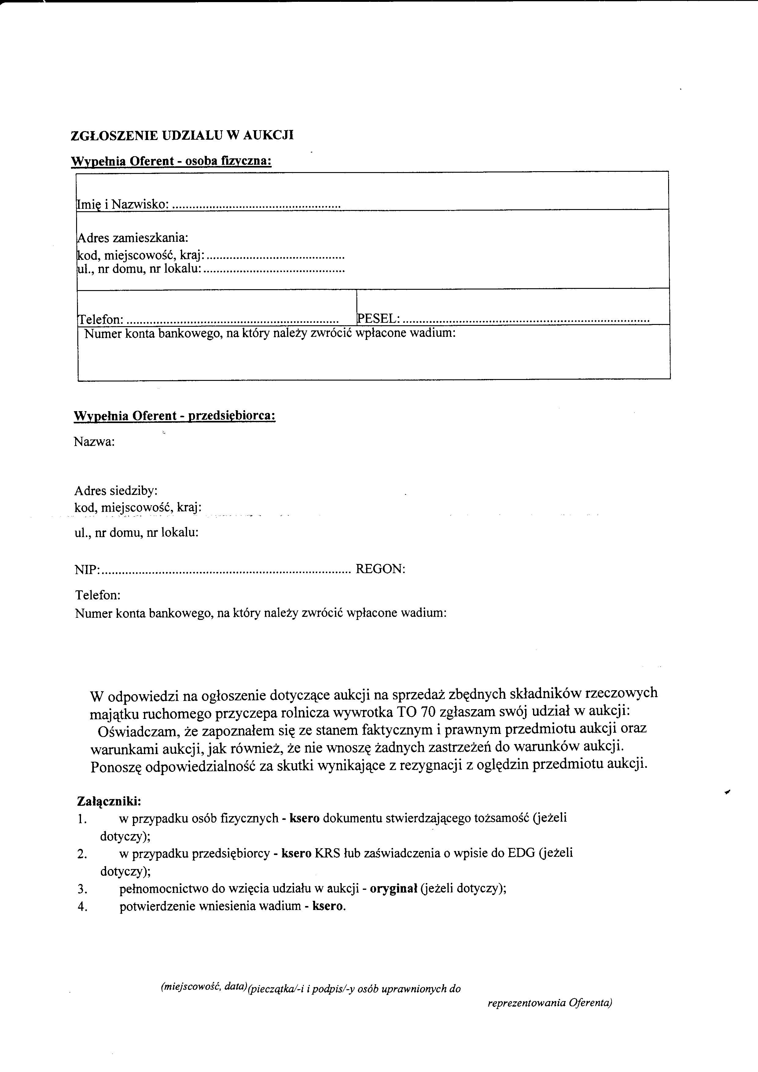
1.Osoby chcące wziąć udział w przetargu muszą najpóźniej w dniu przetargu przed jej
rozpoczęciem tj. dnia 25.11.2015r. do godziny 9³º stawić się GZUWiGK w Drelowie ul.
Dworska 4 celem wypełnienia i złożenia Zgłoszenia udziału w przetargu, którego wzór
stanowi Załącznik nr 1 do ogłoszenia.
2.Informacje dotyczące przetargu można uzyskać pod numerem telefonu 833720031.
VII. Zastrzeżenia:
1.Sprzedawca zastrzega sobie prawo do zmiany ogłoszenia albo odwołania przetargu w
całości lub części, a także zamknięcia przetargu bez podania przyczyn.
2.Organizator przetargu nie odpowiada za wady ukryte w przyczepie wywrotce.
3.Wszystkie koszty związane z nabyciem przedmiotu przetargu ponosi nabywca.
